有機膦酸鹽
二乙烯三胺五甲叉膦酸五鈉??DTPMP?Na5
CAS NO. 68155-78-2
Diethylene Triamine Penta (Methylene Phosphonic Acid) Pentasodium salt
【CAS】 68155—78—2 Dequest:2066
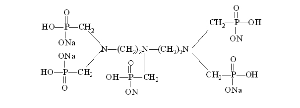
分子式:C9H23O15N3P5?Na5 相對分子質量:683.2
結構式:

DTPMP?Na5為DTPMPA 的鈉鹽水溶液,pH值接近中性、無毒,可以任意比例與水混溶
二、技術指標
項 目 |
指 標 |
外 觀 |
紅棕色液體 |
活性組分(以DTPMPA計),% |
24.0~26.0 |
活性組分(以DTPMPA·Na5計),% |
28.5~31.0 |
氯化物(以Cl-計),% ≤ |
5.0 |
pH值(1%水溶液) |
6.0~8.0 |
密度(20℃),g/cm3 ≥ |
1.25 |
Fe(以Fe2+計)含量,mg/L ≤ |
20.0 |
三、應用范圍與使用方法
DTPMP?Na5在水處理中用作循環冷卻水和鍋爐水的阻垢緩蝕劑,也可用作過氧化物穩定劑、紡織印染用螯合劑、顏料的分散劑、化肥中微量元素攜帶劑、混凝土添加劑。此外,在造紙、電鍍和化妝品等方面也得到了廣泛應用。
DTPMP?Na5一般使用量為5-20mg/L。
四、包裝與儲存
DTPMP?Na5液體為塑料桶包裝,每桶25Kg或250Kg。貯于室內陰涼、干燥處,防潮。貯存期十個月。
五、安全與防護
DTPMP?Na5為中性,應避免與眼睛、皮膚接觸,接觸后應立即用大量清水沖洗(至少15分鐘)。
錄入時間:2014/7/15 11:06:48 點擊次數:6051